Saltar la navegación

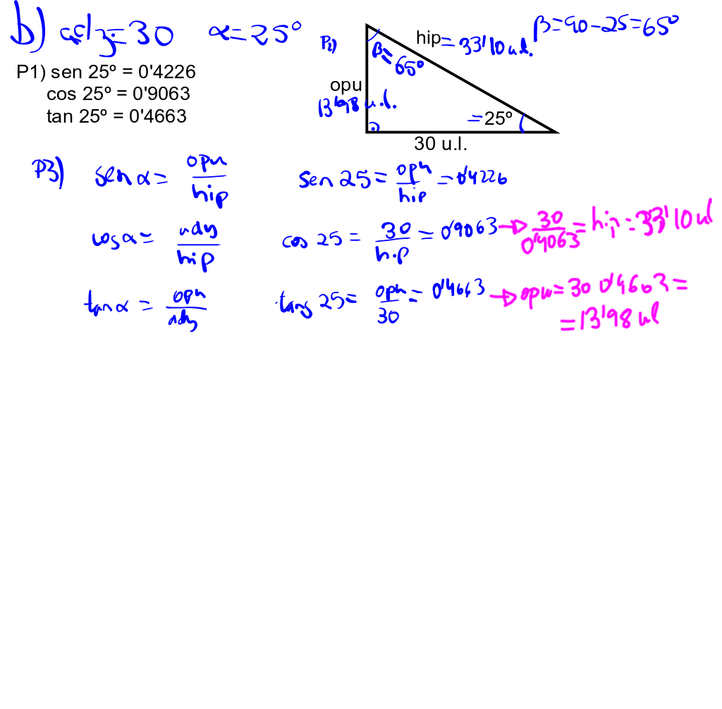
7.6. Triángulos sencillos

Apuntes de clase